Prinsip Kerja Adaptive Neuro Fuzzy Inference System (ANFIS)

Adaptive Neuro Fuzzy Inference System (ANFIS) menggabungkan prinsip kerja Jaringan Syaraf Tiruan (JST) dengan Fuzzy Inference System (FIS). Dengan menggabungkan ANFIS denang JST diharapkan dapat meminimalisir kelemahan masing-masing metode. Kedua metode tetap menggunakan prinsip machine learning.

Plus Minus ANFIS

FIS yang mengharuskan terlibatnya expert dalam menyusun rule, pada ANFIS tidak lagi diperlukan. ANFIS sendiri selain mampu mengolah angka numerik, juga pengetahuan berbasis bahasa (linguistic). Selain itu, ANFIS lebih transparan terhadap pengguna dibanding JST yang seperti kotak hitam (black box). Hal ini karena rule hasil olah ANFIS dapat diketahui oleh pengguna. Namun kebanyakan riset menunjukan bahwa JST lebih akurat dibanding ANFIS. Di antara dua jenis FIS (mamdani dan sugeno), untuk ANFIS sugeno lebih dianjurkan karena proses lebih cepat.

Bentuk ANFIS

Berikut diambil dari jurnal internasional yang membahas cara kerja ANFIS [1]. Mirip dengan JST, ada juga layer dalam ANFIS tetapi jumlahnya rata-rata lima lapis seperti gambar berikut:

Contoh di atas adalah ANFIS dengan dua masukan dan satu keluaran (f). Berikut keluaran (diberi simbol O besar) di tiap-tiap lapis.

Lapis Pertama

Lapis pertama berfungsi mengkonversi angka crisp menjadi bilangan fuzzy dengan menggunakan fuzzy sets. Keluarannya adalah:

Lapis Kedua

Jika pada lapis pertama hanya melibatkan tiap-tiap masukan, pada lapis kedua tiap masukan menuju lapis yang sama guna mengetahui kekuatan penyalaan (firing strength). Fuzzy Sets dikalikan antara satu masukan dengan masukan lainnya dengan hubungan sebagai berikut:

Lapis Ketiga

Pada lapis ketiga dilakukan perhitungan normalisasi sebelum diterapkan ke lapis keempat. Normalisasi adalah proses pembobotan ulang agar diperoleh total/max bernilai satu.

Lapis Keempat

Setelah pembobotan yang telah dinormalkan selesai, proses dilanjutkan dengan mengalikan dengan fungsi yang melibatkan masukan (x dan y) untuk menghasilkan keluaran yang sudah dalam bentuk CRISP.

Lapis Kelima

Langkah terakhir adalah dengan mengakumulasi hasil dari lapis keempat (untuk dua rule).

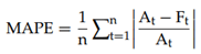
Sementara untuk metode learning, dua metode bisa digunakan antara lain: backpropagation dan hybrid. Prinsipnya adalah meminimalisir error yang terjadi. Ada dua metode penghitungan error: 1) Mean Absolute Percent Error (MAPE) dan 2) Mean Absolute Deviation.

Reference

[1]    M. Şahin and R. Erol, “A Comparative Study of Neural Networks and ANFIS for Forecasting Attendance Rate of Soccer Games,” Math. Comput. Appl., vol. 22, no. 4, p. 43, 2017.

 

5 respons untuk ‘Prinsip Kerja Adaptive Neuro Fuzzy Inference System (ANFIS)

    1. bobot awal bisa nol dulu atau random. jumlah neuron itu ibarat garis pemisah antar kelas, makin banyak neuron makin banyak garis pemisah. tapi jika cuma dua kelas kalau neuron terlalu banyak terkadang jadi kurang bagus generalisasinya.

  1. saya mau bertanya, untuk yg backpropagation di pakai ANFIS sugeno tipe 0 dan yg hybrid itu ANFIS sugeno tipe 1? apa saya benar?

Tinggalkan komentar

Situs ini menggunakan Akismet untuk mengurangi spam. Pelajari bagaimana data komentar Anda diproses.