Koefisien Jaccard

Antara query dengan document perlu dihitung skor untuk mengetahui ranking hasil dari searching kita. Salah satu teknik termudah adalah dengan koefisien Jaccard. Koefisien ini mudah karena kita tinggal mencari item mana saja yang sama dibagi dengan total item keduanya.

Berikut ini adalah contoh sederhana kasus menghitung koefisien Jaccard. Jika diketahui A={1,2,3,4}, B={1,2,4}, dan C={1,2,4,5}, berapakah Jaccard (A,B), Jaccard(B,C), dan Jaccard(A,C). Berikut ini penyelesaiannya.

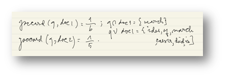
Berikutnya untuk kasus query dan document. Misalnya kita punya query: ides of march dengan dua buah document yaitu doc1: caesar died in march, doc2: the long march. Cari koefisien jaccard antara query dengan doc1 dan doc2.

Koefisien jaccard memiliki kelemahan dimana koefisien ini tidak memperhatikan term frequency (berapa kali suatu term terdapat di dalam suatu dokumen). Perlu diketahui, bahwa terms yang jarang muncul dalam suatu koleksi sangat bernilai dari sisi informasi, tetapi koefisien Jaccard tidak mempertimbangkan hal ini. Jadi kita butuh cara lain untuk menormalisasikannya.

Tinggalkan komentar

Situs ini menggunakan Akismet untuk mengurangi spam. Pelajari bagaimana data komentar Anda diproses.